VİNÇ RAYI SEÇİMİ
Vinç için ray seçimi
1- TEKERLEK YÜKÜ - Vinç ray seçimi için vinçinin tekerlek yükleri bilinmelidir.
Vinç tekerlek yükleri hesaplaması genelde üretici firma tarafından verilir. Bilinmeyen durumlarda bu yük
Vinçten gelen = (1/2) x (vinç boş ağırlığı) -- Troley"Kedi"ağırlığı hariç
Yükten Gelen = ((Aks açıklığı - Kanca kenara max. yanaşma mesafesi) / (Aks açıklığı)) x (Vinç kapasitesi+Troley"Kedi"ağırlığı)
Hesaplandıktan sonra, bunların toplamının bir başlıkta bulunan tekerlek sayısına bölünmesi ile bulunur.
Vinçteki köprü toplam tekerlek sayısı 4 ve bir tarafta 2 tekerlek var ise 2 ye bölmek gerekir.
Vinçteki köprü toplam tekerlek sayısı 8 ve bir tarafta 4 tekerlek var ise 4 ye bölmek gerekir.
Araba ve benzeri yapılarda ise toplam yüklü ağırlığı tekerlek sayısına bölmek yeterlidir. ( A SİMETRİK YÜKLEMER HARİÇ )
2- TEKERLEK ÇAPI - Tekerlek çapı ray mantar genişliği, ray malzemesi ve vinç yürüme hızı ile bağlantılı olarak seçilmelidir.
3- SİSTEM YÜRÜME HIZI
4- RAY ZEMİN BAĞLANTI ŞEKLİ
5- RAY KULLANIM SAHASI ATMOSFERİK KOŞULLARI veya ORTAM KOŞULLARI
6- SİSTEM ÇALIŞMA SINIFI - Hangi yükte, ne sıklıkta haret var sorusunun cevabı belirler.
ÖRNEK RAY SEÇİM VE TEKERLEK ÇAPI HESABI : DIN 15070
| Tekerlek dik yükü | 11.250 | kgf |
| 110.363 | N | |
| Seçilen ray | A75 | |
| Mantar genişliği | 75 | mm. |
| kenar radyusu | 5 | mm. |
| Tekerlek taşıma genişliği | 65 | mm. ( bt ) |
| Tekerlek em. basıncı | 7 | N/mm² |
| Devir sayısı faktörü "c2" | 1,03 | Tablodan ( Tablo 2.7 ) |
| Çalışma oranı faktörü "c3" | 1,25 | Tablodan ( Tablo 2.9 ) |
| BURADAN HAREKETLE | ||
| dTA ( TEKERLEK ÇAPI ) | 188 | mm. |
| Tekerlek çapı 200 mm olduğundan uygun gözükmektedir. | ||
Burada anlaşılması gereken konu ray ve tekerlek çapı birlikte düşünülmeli ve aralarındaki ters orantı
göz önüne alınmalıdır.
Ray seçimi ona göre tayin edilmelidir.
Sonuç : Ray genişliği tekerlek çapı ile ters orantılıdır.
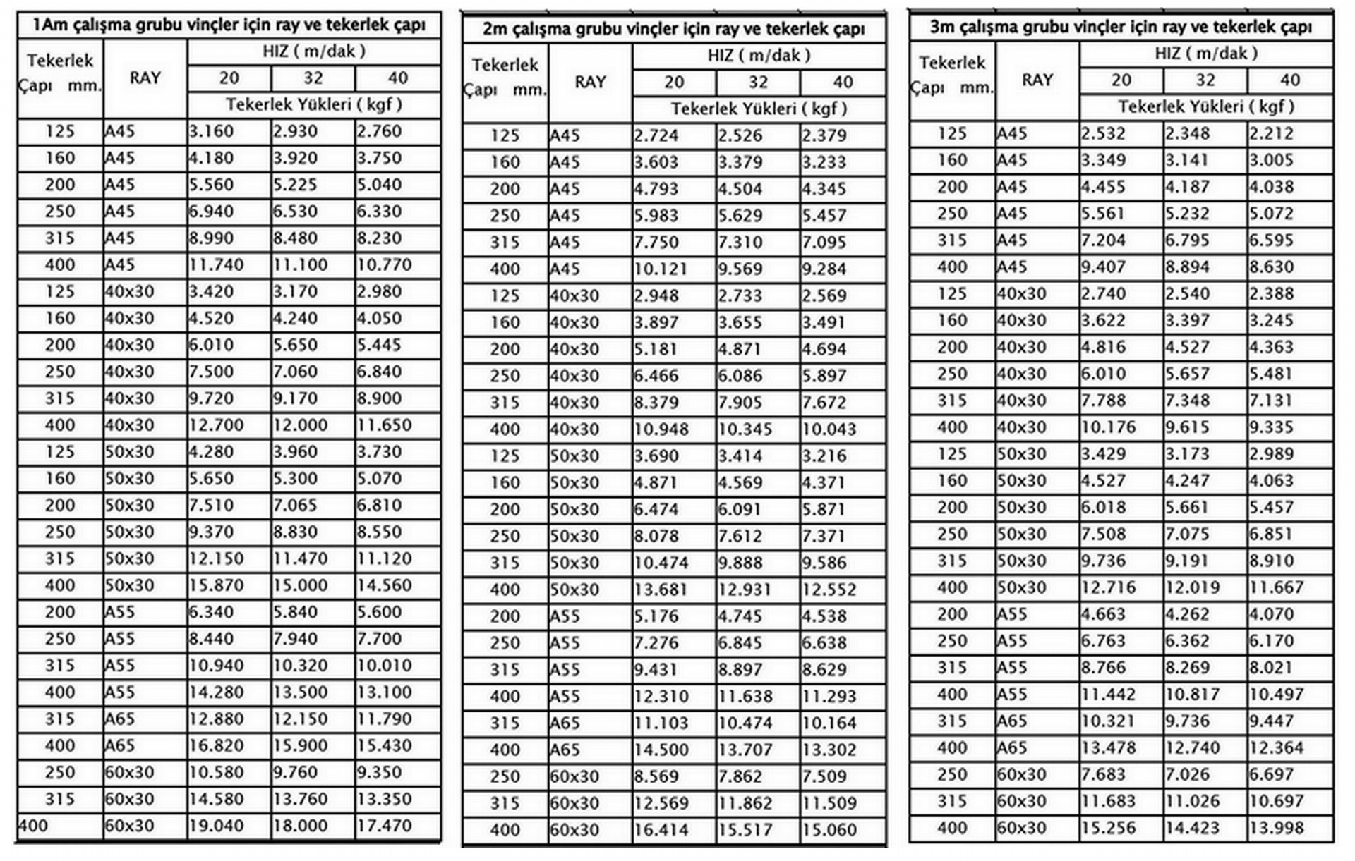
PRATİK OLARAK RAY - TEKERLEK SEÇİM TABLOSU :

| RAY KALİTE TABLOSU | Kimyasal Özellikler | Mekanik Özellikler | |||||||||||
| Standart | Kalite (Grade) | C | Si | Mn | P | S | Cr | AI | V | H2 | Rm | Elongation | BHN Hardness |
| (ppm) | (MPa) | (%) | Orta eksende | ||||||||||
| UIC 860-O | 700 | 0.40/0.60 | 0.05/0.35 | 0.80/1.25 | ≤ 0.050 | ≤ 0.050 | 680/830 | ≥ 14 | |||||
| 900A | 0.60/0.80 | 0.10/0.50 | 0.80/1.30 | ≤ 0.040 | ≤ 0.040 | 880/1030 | ≥ 10 | ||||||
| 900B | 0.55/0.75 | 0.10/0.50 | 1.30/1.70 | ≤ 0.040 | ≤ 0.040 | 880/1030 | ≥ 10 | ||||||
| EN 13674-1 | R200 | 600.40/0.60 | 0.15/0.58 | 0.70/1.20 | ≤ 0.035 | 0.008/0.035 | ≤ 0.15 | ≤ 0.004 | ≤ 0.03 | ≤ 3.0 | ≥ 680 | ≥ 14 2 | 200/240 |
| R220 | 0.50/0.60 | 0.20/0.60 | 1.00/1.25 | ≤ 0.025 | 0.008/0.025 | ≤ 0.15 | ≤ 0.004 | ≤ 0.03 | ≤ 3.0 | ≥ 770 | ≥ 12 | 220/260 | |
| R260 | 0.62/0.80 | 0.15/0.58 | 0.70/1.20 | ≤ 0.025 | 0.008/0.025 | ≤ 0.15 | ≤ 0.004 | ≤ 0.03 | ≤ 2.5 | ≥ 880 | ≥ 10 | 260/300 | |
| R260Mn | 0.55/0.75 | 0.15/0.60 | 1.30/1.70 | ≤ 0.025 | 0.008/0.025 | ≤ 0.15 | ≤ 0.004 | ≤ 0.03 | ≤ 2.5 | ≥ 880 | ≥ 10 | 260/300 | |
| R350HT | 0.72/0.80 | 0.15/0.58 | 0.70/1.20 | ≤ 0.020 | ≤ 0.025 | ≤ 0.15 | ≤ 0.004 | ≤ 0.03 | ≤ 2.5 | ≥ 1175 | ≥ 9 | 350/390 | |
| R370CrHT | 0.70/0.82 | 0.40/1.00 | 0.70/1.10 | ≤ 0.020 | ≤ 0.020 | 0.40/0.60 | ≤ 0.004 | ≤ 0.03 | ≤ 1.5 | ≥ 1280 | ≥ 9 | 370/410 | |
| EN 13674-2 | R260Cr | 0.40/0.60 | 0.20/0.45 | 1.20/1.60 | ≤ 0.025 | ≤ 0.025 | 0.40/0.60 | ≤ 0.004 | ≤ 0.06 | ≤ 2.5 | ≥ 880 | ≥ 10 | 260/300 |
| IRS | 880 | 0.60/0.80 | 0.10/0.50 | 0.80/1.30 | ≤ 0.030 | ≤ 0.030 | – | ≤ 0.015 | – | ≤ 1.6 | ≥ 880 | ≥ 10 | ≥ 260 |
| 1080HH | 0.60/0.80 | 0.10/0.50 | 0.80/1.30 | ≤ 0.030 | ≤ 0.030 | – | ≤ 0.015 | – | ≤ 1.6 | ≥ 1080 | ≥ 10 | 340/390 | |
